


4th Period Summary
The 4th Semester of the BSR DeepTech Launch project was a turning point: a phase of reflection, fine-tuning, and sharing results with the wider community. In early spring, partners took stock of the knowledge gained from the workshops held across the region. The 2nd...
Interview Study in Ã…land : Farmers Support Gypsum Use
A recent study by Emma Widén (Swedish University of Agricultural Sciences (SLU)) explores with qualitative interviews of seven farmers the potential of gypsum amendment as a water protection measure in Åland’s agricultural landscape. Conducted within the...
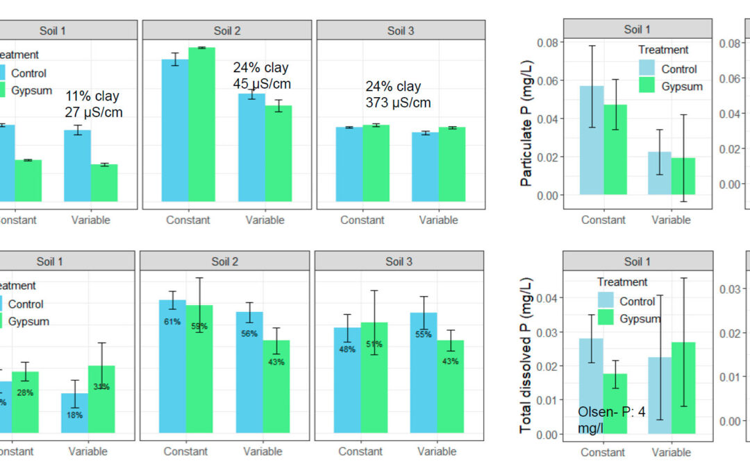
GYPREG Project Presented at LuWQ2025 in Denmark
In 3–6 June 2025, the city of Aarhus, Denmark, hosted the International Interdisciplinary Conference on Land Use and Water Quality (LuWQ2025), one of the leading forums for discussing the impacts of agriculture and land use on water quality. The event brought together...